شركة ASUS تنشر المواصفات الكاملة للبطاقات الرسومية لحواسيبها المحمولة
قررت شركة ASUS مؤخراً الكشف عن مواصفات المعالجات الرسومية الكاملة لسلسلة الحواسيب المحمولة الجديدة الخاصة بها بالكامل. حيث أنه نظرًا لوجود وحدات معالجة رسومية من سلسلة NVIDIA GeForce RTX 3000 في أجهزة الكمبيوتر المحمولة الخاصة بها ، لم تلتزم الشركات بإدراج TGP أيًا كان ما بداخل هذه الحواسيب من وحدات المعالجة الرسومية سواء كانت من نوع Max-Q أو Max-P.

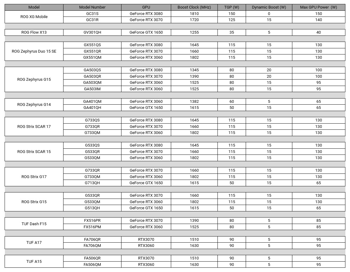
بالطبع قد يربك ذلك المستهلك العادي حيث أنه من الممكن أن تكون نسخة المعالج الرسومي الذي حصلوا عليه أبطأ بكثير مما توقعوه. ولتوضيح الالتباس ، قررت شركة ASUS تزويدنا بجدول متوسط استهلاك الطاقة TGP للمعالجات الرسومية والترددات الموجودة داخل أجهزة الكمبيوتر المحمولة الخاصة بالشركة. لم تنشر ASUS فقط جدول متوسط إستهلاك الطاقة TGP والترددات ، ولكن قامت الشركة أيضًا بتحديث موقعها على الويب ليعكس أقصى استهلاك للطاقة TDP بشكل دقيق والتردد الدقيقة لأي وحدة معالجة رسومية مستخدمة في جهاز كمبيوتر محمول لتجنب أي ارتباك ومنح المستهلكين الطمأنينة عند شرائهم.
